Le service régional de l’économie agricole et des filières - SREAF

Le SREAF concourt à l’installation des jeunes agriculteurs et la transmission des exploitations, l’amélioration des infrastructures agricoles, à la modernisation des exploitations et la préservation de l’environnement, à l’accompagnement des filières animales et végétales et à la promotion et le soutien des démarches qualité, il apporte un appui aux industries agroalimentaires

Il travaille en étroite collaboration avec l’établissement national des produits de l’agriculture et de la mer FranceAgriMer dont la DRAAF représente le service territorial en Pays de la Loire.

Il coordonne l’action des services d’économie agricole des directions départementales des territoires (et de la mer) - DDT(M).

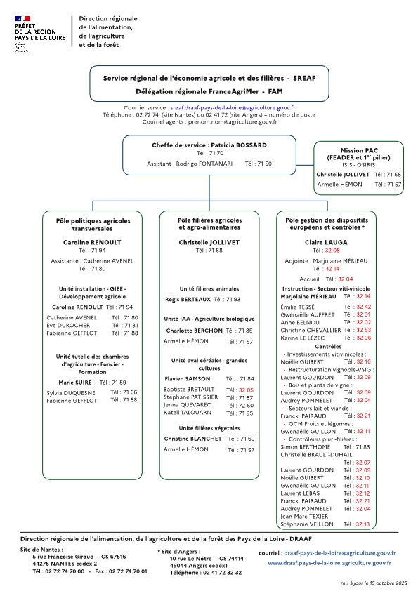
organigramme service régional de l'économie agricole et des filières DRAAF Pays de la Loire au 01 mai 2026 - voir la transcription ci-dessous
organigramme service régional de l'économie agricole et des filières DRAAF Pays de la Loire au 01 mai 2026

Direction régionale de l’alimentation, de l’agriculture et de la forêt des Pays de la Loire
Service régional de l’économie agricole et des filières (SREAF)
Pour contacter les agents par téléphone :
site de Nantes : 02 72 74 + n° de poste
site d’Angers : 02 41 24 + n° de poste
Courriel : sreaf.draaf-pays-de-la-loire@agriculture.gouv.fr
Courriels agents : prenom.nom@agriculture.gouv.fr

Cheffe de service : Patricia BOSSARD - n° de poste : 71 70
Adjointe à la cheffe du service territorial FranceAgrimer : Claire LAUGA
Assistant : Rodrigo FONTANARI - n° de poste : 71 50

Mission PAC (FEADER et 1er pilier) - ISIS et OSIRIS
Cheffe de mission : Christelle JOLLIVET - n° de poste : 71 58
Assistante : Armelle HÉMON - n° de poste : 71 57

Pôle politiques agricoles transversales
Cheffe de pôle : Caroline RENOULT - n° de poste : 71 94
Assistante : Catherine AVENEL - n° de poste : 71 80
Unité installation - GIEE - Développement agricole
Responsable d’unité : Caroline RENOULT - n° de poste : 71 94
Catherine AVENEL - n° de poste : 71 80
Ève DUROCHER - n° de poste : 71 81
Fabienne GEFFLOT - n° de poste : 71 8
Unité tutelle des chambres d’agriculture - Foncier - Formation
Responsable d’unité : Marie SUIRE - n° de poste : 71 59
Sylvia DUQUESNE - n° de poste : 71 66
Fabienne GEFFLOT - n° de poste : 71 88

Pôle filières agricoles et agro-alimentaires
Cheffe de pôle : Christelle JOLLIVET - n° de poste : 71 58
Unité filières animales
Responsable d’unité : Régis BERTEAUX - n° de poste : 71 93
Unité IAA - Agriculture biologique
Responsable d’unité : Charlotte BERCHON - n° de poste : 71 85
Armelle HÉMON - n° de poste : 71 57
Unité aval céréales - grandes cultures
Responsable d’unité : Flavien SAMSON - n° de poste : 71 84
Baptiste BRETAULT - n° de poste : 32 05 (Angers)
Stéphane PATISSIER - n° de poste : 71 87
Jenna QUEVAREC - n° de poste : 72 50
Katell TALOUARN - n° de poste : 71 95
Unité filières végétales
Responsable d’unité : Christine BLANCHET - n° de poste : 71 60
Armelle HÉMON - n° de poste : 71 57

Pôle gestion des dispositifs européens et contrôles (Angers)
Accueil site d’Angers - n° de poste : 32 32
Cheffe de pôle : Claire LAUGA - n° de poste : 32 08
Adjointe : Marjolaine MÉRIEAU - n° de poste : 32 14
Instruction - Secteur viti-vinicole
Marjolaine MÉRIEAU - n° de poste : 32 14
Émilie TESSÉ - n° de poste : 32 42
Gwénaëlle AUFFRET - n° de poste : 32 01
Anne BELNOU - n° de poste : 32 02
Audrey GASCHET - n° de poste : 32 32
Karine LE LÉZEC - n° de poste : 32 06
Contrôles :
 des investissements vitivinicoles : Noëlle GUIBERT - n° de poste : 32 10
 de la restructuration du vignoble - VSIG : Laurent GOURDON - n° de poste : 32 09
 des bois et plants de vigne :
Laurent GOURDON - n° de poste : 32 09
Audrey POMMELET - n° de poste : 32 04
 du secteurs lait et viande : Franck PAIRAUD - n° de poste : 32 21
 de l’OCM fruits et légumes : Gwénaëlle GUILLON - n° de poste : 32 11
Contrôleurs pluri-filières :
Simon BERTHOMÉ - n° de poste : 71 83 (Nantes)
Christelle BRAULT-DUHAIL - n° de poste : 32 07
Laurent GOURDON - n° de poste : 32 09
Noëlle GUIBERT - n° de poste : 32 10
Gwénaëlle GUILLON - n° de poste : 32 11
Laurent LEBAS - n° de poste : 32 12
Franck PAIRAUD - n° de poste : 32 21
Audrey POMMELET - n° de poste : 32 04
Jean-Marc TEXIER
Stéphanie VEILLON - n° de poste : 32 13

Coordonnées
Adresse DRAAF site de Nantes : 5 rue Françoise Giroud – CS 67516 – 44275 Nantes cedex 2 – Tél : 02 72 74 70 00
Adresse DRAAF site d’Angers : 10 rue André Le Nôtre – CS 74414 – 49044 Angers cedex 1 – Tél : 02 41 72 32 32
Courriel : contact.draaf-pays-de-la-loire@agriculture.gouv.fr
Site internet : https://draaf.pays-de-la-loire.agriculture.gouv.fr/

 

 
Pour contacter le service : sreaf.draaf-pays-de-la-loire@agricu...
ou : prénom.nom@agriculture.gouv.fr


Partager la page

S'abonner